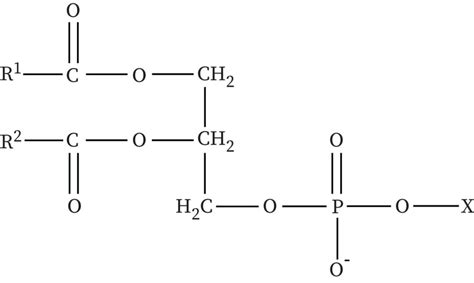
Glycerophospholipids structure diagram. . ...

Glycerophospholipids structure diagram. .

Glycerophospholipids structure diagram. .  ...Glycerophospholipids structure diagram. .  ...